384. 打乱数组(洗牌算法)

给你一个整数数组 nums ,设计算法来打乱一个没有重复元素的数组。打乱后,数组的所有排列应该是 等可能 的。 实现 Solution class: Solution(int[] nums) 使用整数数组 nums 初始化对象 int[] reset() 重设数组到它的初始状态并返回 int[] s


leetcode常见问题

开学了 开始每日刷leetcode了 ,开一个新分类记录做题过程和心得。 1.出现本地调试无问题但提交后报错时,很有可能是全局变量导致的,解决办法 (1).尽量写成局部变量,函数尽量传参进入。 (2).多提交几次碰运气 。 2.对于使用algorithm的sort的自定义cmp的话,自定义的cmp前


372. 超级次方(快速幂)

你的任务是计算 ab 对 1337 取模,a 是一个正整数,b 是一个非常大的正整数且会以数组形式给出。 示例 1: 输入:a = 2, b = [3] 输出:8 示例 2: 输入:a = 2, b = [1,0] 输出:1024 示例 3: 输入:a = 1, b = [4,3,3,8,5,2


212. 单词搜索 II(字典树/前缀树)

给定一个 m x n 二维字符网格 board 和一个单词(字符串)列表 words, 返回所有二维网格上的单词 。 单词必须按照字母顺序,通过 相邻的单元格 内的字母构成,其中“相邻”单元格是那些水平相邻或垂直相邻的单元格。同一个单元格内的字母在一个单词中不允许被重复使用。 示例 1: 输入:b


448. 找到所有数组中消失的数字(鸽笼原理)

(注:2023秋招笔试中做了好多次这种类型题) 给你一个含 n 个整数的数组 nums ,其中 nums[i] 在区间 [1, n] 内。请你找出所有在 [1, n] 范围内但没有出现在 nums 中的数字,并以数组的形式返回结果。 示例 1: 输入:nums = [4,3,2,7,8,2,3,1]


470. 用 Rand7() 实现 Rand10()(拒绝采样)

给定方法 rand7 可生成 [1,7] 范围内的均匀随机整数,试写一个方法 rand10 生成 [1,10] 范围内的均匀随机整数。 你只能调用 rand7() 且不能调用其他方法。请不要使用系统的 Math.random() 方法。 每个测试用例将有一个内部参数 n,即你实现的函数 rand10


600. 不含连续1的非负整数(数位dp或数学)

(hard还是有点强度的) 给定一个正整数 n ,请你统计在 [0, n] 范围的非负整数中,有多少个整数的二进制表示中不存在 连续的 1 。 示例 1: 输入: n = 5 输出: 5 解释: 下面列出范围在 [0, 5] 的非负整数与其对应的二进制表示: 0 : 0 1 : 1 2 : 10


1838. 最高频元素的频数(滑动窗口)

元素的 频数 是该元素在一个数组中出现的次数。 给你一个整数数组 nums 和一个整数 k 。在一步操作中,你可以选择 nums 的一个下标,并将该下标对应元素的值增加 1 。 执行最多 k 次操作后,返回数组中最高频元素的 最大可能频数 。 示例 1: 输入:nums = [1,2,4], k =


152. 乘积最大子数组(经典dp)

给你一个整数数组 nums ,请你找出数组中乘积最大的非空连续子数组(该子数组中至少包含一个数字),并返回该子数组所对应的乘积。 测试用例的答案是一个 32-位 整数。 子数组 是数组的连续子序列。 示例 1: 输入: nums = [2,3,-2,4] 输出: 6 解释: 子数组 [2,3] 有最


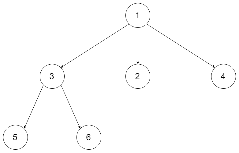
559. N 叉树的最大深度(bfs)

给定一个 N 叉树,找到其最大深度。 最大深度是指从根节点到最远叶子节点的最长路径上的节点总数。 N 叉树输入按层序遍历序列化表示,每组子节点由空值分隔(请参见示例)。 示例 1: 输入:root = [1,null,3,2,4,null,5,6] 输出:3